Мы используем куки-файлы. Соглашение об использовании
Аукцион

Продается здание, 66,1 м²

Площадь66,1 м²
Этажность1
Отчёт о привлекательности объектаУзнайте, насколько помещение и район подходят для вашего бизнеса
Что входит в отчёт
  • Охват населения
  • Пешеходный трафик
  • Автомобильный трафик
  • Средний бюджет семьи по району
  • Арендные ставки рядом
  • Точки притяжения
  • Конкуренты в радиусе 1 км
  • Рекомендации по выбору места для бизнеса
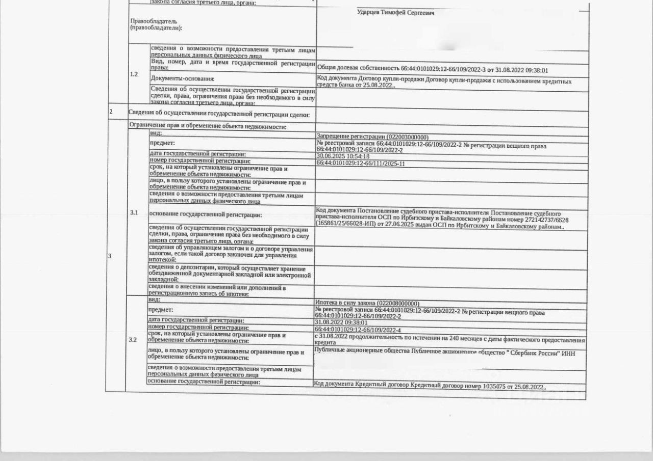
Данные получены с сайта ГИС Торги. Должник: Ударцева В.А., собственники: Ударцева В.А., Ударцев Т.С. Лот: Здание (жилой дом), площадь 66,1 кв.м., кадастровый номер: 66:44:0101029:136, земельный участок (земли населенных пунктов, для индивидуального жилищного строительства), площадь 947 кв.м., кадастровый номер: 66:44:0101029:12, г. Ирбит, ул. Ницинская, д. 44, (сделка подлежит нотариальному удостоверению, зарегистрированные лица - 1 взрослый, 2 несовершеннолетний), н/ц: 1822500 р., з-к: 1822 р., код: 0014, рег. 28-438/26
АукционОбъект реализуется посредством электронных торгов. Конечную информацию об оплате, дополнительных платежах и условия заключения договора смотрите в документах извещения к лоту, на сайте электронной торговой площадки.
lock

Войдите или зарегистрируйтесь
для просмотра информации

Просматривайте условия сделки и всю информацию об объекте
Сохраняйте фильтры в поиске и не вводите заново
Доступ к избранному с любого устройства
Неограниченное добавление в избранное
  • Инфраструктура
  • Похожие рядом
Помощь надёжных риелторов
Риелтор партнёр Циан поможет купить или продать любую недвижимость
Управляющая компанияID 128914650
  • 1 год 1 месяц на Циане
  • 10967 объявлений
  • Начальная цена, аукцион
    1 822 500 ₽
    23 964 $
    20 335
    Цена за метр
    27 572 ₽
    Налог
    НДС не включен
    Управляющая компанияID 128914650